SalasarInv 503635 full analysis,charts,indicators,moving averages,SMA,DMA,EMA,ADX,MACD,RSISalasar Inv 503635 WideScreen charts, DMA,SMA,EMA technical analysis, forecast prediction, by indicators ADX,MACD,RSI,CCI BSE stock exchange
Daily price and charts and targets SalasarInv Strong Daily Stock price targets for SalasarInv 503635 are 40.44 and 40.44 | Daily Target 1 | 40.44 | | Daily Target 2 | 40.44 | | Daily Target 3 | 40.44 | | Daily Target 4 | 40.44 | | Daily Target 5 | 40.44 |
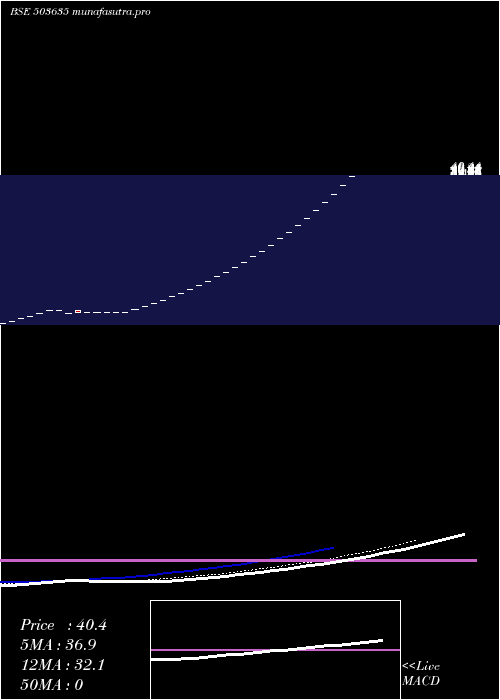
Daily price and volume Salasar Inv
| Date |
Closing |
Open |
Range |
Volume |
Fri 05 December 2025 |
40.44 (4.98%) |
40.44 |
40.44 - 40.44 |
1 times |
Mon 01 December 2025 |
38.52 (4.99%) |
38.52 |
38.52 - 38.52 |
1 times |
Fri 28 November 2025 |
36.69 (4.98%) |
36.69 |
36.69 - 36.69 |
1 times |
Thu 27 November 2025 |
34.95 (4.99%) |
34.95 |
34.95 - 34.95 |
1 times |
Wed 26 November 2025 |
33.29 (4.98%) |
33.29 |
33.29 - 33.29 |
1 times |
Tue 25 November 2025 |
31.71 (5%) |
31.71 |
31.71 - 31.71 |
1 times |
Mon 24 November 2025 |
30.20 (4.97%) |
30.20 |
30.20 - 30.20 |
1 times |
Wed 12 November 2025 |
28.77 (5%) |
28.77 |
28.77 - 28.77 |
1 times |
Mon 03 November 2025 |
27.40 (4.98%) |
27.40 |
27.40 - 27.40 |
1 times |
Fri 31 October 2025 |
26.10 (4.99%) |
26.10 |
26.10 - 26.10 |
1 times |
Wed 29 October 2025 |
24.86 (4.98%) |
24.86 |
24.86 - 24.86 |
1 times |

Weekly price and charts SalasarInv Strong weekly Stock price targets for SalasarInv 503635 are 39.48 and 41.4 | Weekly Target 1 | 37.88 | | Weekly Target 2 | 39.16 | | Weekly Target 3 | 39.8 | | Weekly Target 4 | 41.08 | | Weekly Target 5 | 41.72 |
Weekly price and volumes for Salasar Inv
| Date |
Closing |
Open |
Range |
Volume |
Fri 05 December 2025 |
40.44 (10.22%) |
38.52 |
38.52 - 40.44 |
0.639 times |
Fri 28 November 2025 |
36.69 (27.53%) |
30.20 |
30.20 - 36.69 |
1.5974 times |
Wed 12 November 2025 |
28.77 (10.23%) |
27.40 |
27.40 - 28.77 |
0.639 times |
Fri 31 October 2025 |
26.10 (15.69%) |
23.68 |
23.68 - 26.10 |
0.9585 times |
Thu 23 October 2025 |
22.56 (4.98%) |
22.56 |
22.56 - 22.56 |
0.3195 times |
Fri 17 October 2025 |
21.49 (27.46%) |
17.70 |
17.70 - 21.49 |
1.5974 times |
Wed 08 October 2025 |
16.86 (10.2%) |
16.06 |
16.06 - 16.86 |
0.9585 times |
Tue 30 September 2025 |
15.30 (4.94%) |
15.30 |
15.30 - 15.30 |
0.3195 times |
Fri 16 May 2025 |
14.58 (4.97%) |
14.58 |
14.58 - 14.58 |
2.8435 times |
Fri 19 January 2024 |
13.89 (10.24%) |
13.23 |
13.23 - 13.89 |
0.1278 times |
Thu 24 February 2022 |
12.60 (5%) |
12.00 |
12.00 - 12.60 |
54.345 times |

Monthly price and charts SalasarInv Strong monthly Stock price targets for SalasarInv 503635 are 39.48 and 41.4 | Monthly Target 1 | 37.88 | | Monthly Target 2 | 39.16 | | Monthly Target 3 | 39.8 | | Monthly Target 4 | 41.08 | | Monthly Target 5 | 41.72 |
Monthly price and volumes Salasar Inv
| Date |
Closing |
Open |
Range |
Volume |
Fri 05 December 2025 |
40.44 (10.22%) |
38.52 |
38.52 - 40.44 |
0.099 times |
Fri 28 November 2025 |
36.69 (40.57%) |
27.40 |
27.40 - 36.69 |
0.3464 times |
Fri 31 October 2025 |
26.10 (70.59%) |
16.06 |
16.06 - 26.10 |
0.5938 times |
Tue 30 September 2025 |
15.30 (4.94%) |
15.30 |
15.30 - 15.30 |
0.0495 times |
Fri 16 May 2025 |
14.58 (4.97%) |
14.58 |
14.58 - 14.58 |
0.4404 times |
Fri 19 January 2024 |
13.89 (4.99%) |
13.89 |
13.89 - 13.89 |
0.0049 times |
Thu 28 July 2022 |
13.23 (5%) |
13.23 |
13.23 - 13.23 |
0.0148 times |
Thu 24 February 2022 |
12.60 (5%) |
12.60 |
12.60 - 12.60 |
8.4117 times |
Mon 06 September 2021 |
12.00 (0%) |
12.00 |
12.00 - 12.00 |
0.0049 times |
Mon 21 June 2021 |
12.00 (0%) |
12.00 |
12.00 - 12.00 |
0.0346 times |
Wed 19 August 2020 |
12.00 (0%) |
12.00 |
12.00 - 12.00 |
0.099 times |

DMA SMA EMA moving averages of Salasar Inv 503635
DMA (daily moving average) of Salasar Inv 503635
| DMA period | DMA value | | 5 day DMA | 36.78 | | 12 day DMA | 31.38 | | 20 day DMA | 26.49 | | 35 day DMA | 20.57 | | 50 day DMA | | | 100 day DMA | | | 150 day DMA | | | 200 day DMA | | EMA (exponential moving average) of Salasar Inv 503635
| EMA period | EMA current | EMA prev | EMA prev2 | | 5 day EMA | 36.93 | 35.18 | 33.51 | | 12 day EMA | 32.1 | 30.58 | 29.14 | | 20 day EMA | 28.06 | 26.76 | 25.52 | | 35 day EMA | 21.62 | 20.51 | 19.45 | | 50 day EMA | 0 | 0 | 0 |
SMA (simple moving average) of Salasar Inv 503635
| SMA period | SMA current | SMA prev | SMA prev2 | | 5 day SMA | 36.78 | 35.03 | 33.37 | | 12 day SMA | 31.38 | 29.89 | 28.48 | | 20 day SMA | 26.49 | 25.23 | 24.04 | | 35 day SMA | 20.57 | 19.73 | 18.94 | | 50 day SMA | | 100 day SMA | | 150 day SMA | | 200 day SMA |
|
|